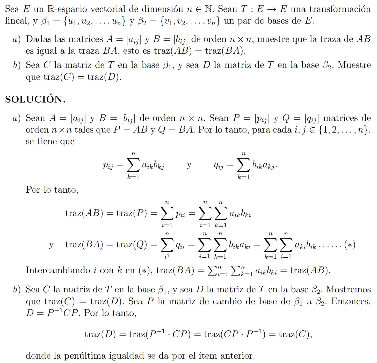
Álgebra Lineal I: Prácticas y exámenes
- asd


asdasd
(PD 1) - 2020-I: 1a(ev)
, 1c(ev)
, 3c(sev)
, 3f(sev)
, 5a(generador)
, 5c(generador)
, 7a(generador)
, 7c(generador)
, 14(suma directa)
- 2023-I:





// 1a(1a-20I), 6c, 8a, 8c, 12a, 12c, , , , , , , , - 2024-I:



// 1a(1a-20I), 1d(=1c-20I), 6a(=7a), 6b(=7b), 12b(3c), 12e(=12f-20I), 13a(=5a), 13c(5c), 21(=14-20I), , , - 2025-II: 1
, 2
, 3
, 4
, 5
,6
, 7
, 8
, 9
, 10
, 11
,12
, 13
, 14
, 15
, 16
, 17
, 18
- (PRÁCTICA CALIFICADA 1)
- 2019-II: 1a(span y dim)
, 1b(subespacios)
, 1c(suma directa)
, 1d(li)
, 2(span)
, 3(dim)
, 4a(subepsacio)
, 4b(base)
, 4c(base)
, 5(suma directa)
- 2020-I: 1(base)
, 2a(TL, núcleo e imagen)
, 2b(TL, núcleo e imagen)
, 3(base)
, 4(TL)
- 2020-II: 1a(sev)
, 1b(suma directa)
, 1c
, 2a(dim)
, 2b(span)
, 2c(TL)
, 3(TL)
, 4(TL)
- 2021-I: 1(sev)
, 2(suma directa, dim)
, 3a(TL)
, 3b(TL)
, 4
- 2021-II: 1(sev intersección)
, 2(suma directa)
, 3a(span)
, 3b(span)
, 4(li, span)
- 2022-I: 1(21-I-pc1), 2(21-I-pc1), 3(dim y base)
, 4(suma directa, li, dim)
- 2023-I: 1(ev)X

, 2a(sev)X
, 2b(suma directa)X
, 3(generador)X
, 4X
- 2023-II: 1a(ev)
, 1b(sev)
, 1c(sev)
, 1d(suma directa)
, 1e(generador)
, 2(combinación lineal)
, 3a(li, dimensión, generador)
, 3b(coordenadas de base)
, 3c(li, linealmente independiente)
, 4(base)
- 2024-I: 1a(base)
, 1b(subesp. vect. de conjunto)
, 1c(suma directa)
, 1d(TL)
, 1e(TL)
, 2(base de conjunto)
, 3(esp. vect.)
, 4(nucleo, conjunto)
- 2025-I: 1a(cuerpo)
, 1b(relación de equivalencia)
, 1c(cuerpo)
, 2(base)
, 3(relación y equivalencia)
, 4(esp. vect., base, TL)
- 2025-II: 1a(dimensión de subespacios)
, 1b(sev, suma directa)
, 1c(generadores)
, 1d(núcleo)
, 2(ev sucesion)
, 3(t. de núcleo e imagen, rango)
, 4()
- (PD 2)
- (PRÁCTICA CALIFICADA 2)
- 2020-I: 1(matrices)
, 2(matrices)
, 3(cambio de base)
, 4a(base)
, 4b(rango)
///// - 2020-II: 1a(matrices)
, 1b(dua)
, 1c(dimensión de suma)
, 1d(proyección)
, 2(sobreyectiva)
, 3(base dual)
, 4(matrices)
//// - 2021-I: 1(proyección, núcleo, imagen)
, 2(isomorfo)
, 3(base dual)XX
, 4(anulador)X
//// - 2021-II: 1(transformación lineal)X
, 2(núcleo e imagen)x
, 3(base dual)X
, 4(base dual)XX
//// - 2022-I: 1(isomorfismo)
, 2(espacio de transformaciones)X
, 3(funcional sobreyectiva)
, 4(anulador)XX
/// - 2023-I: 1a(coordenadas)X
, 1b
, 2(propiedades del núcleo e imagen)
, 3(núcleo)
, 4a(anulador)XX
, 4b(anulador)XX
//// - 2023-II: 1a(imagen de TL)
, 1b(TL)
, 1c(anillo de matriz)
, (transpuesta de una TL)
, 1e(transpuesta TL)
, 2
, 3
, 4a
, 4b(automorfismo)
- 2024-I: 1(base de sev)
, 2(TL)
, 3(conjunto cociente)
, 4(sev, dimensión, suma directa)
- 2025-I: 1a(TL)
, 1b(TL, imagen)
, 1c(TL, proyección)
, 2(base dual)
, 3(TL)
, 4(TL, núcleo, conjunto cociente)
- 2025-II:
- (1) Teorema fundamental de las transformaciones lineales. Espacio de las transformaciones lineales (caracterización).
- (2)Matrices elementales, propiedades. Matriz escalonada reducida.
- (3) Matriz asociada a una transformación lineal. Matriz de cambio de base
- (4) Teorema de extensión por linealidad. Teorema del núcleo e imagen. Anulador de un subespacio. Transpuesta de una transformación lineal.
- (PD 3)
- 2023-I:






- 2025-I: 1
, 2
, 3
, 4
, 5
, 6
, 7
, 8
, 9
, 10
, 11
, 12
,13
,14
, 15
, 16
, 17
, 18
, 19
,20
, 21
, 22
- (Libro 06 Espacio dual): 1
, 2
, 3
, 4
, 5
, 6
, 7
, 8
, 9
, 10
, 11
, 12
, 13
, 14
, 15
, 16
,17
, 18
, 19
.
- (PRÁCTICA CALIFICADA 3)

- 2020-I: 1a(representación de Risz)
, 1b(producto interno, norma, adjunta de un TL)
, 2(valores propios)
, 3(invertibilidad y polinomio)XX
, 4(valores propios, polinomio mínimo, diagonizable, teorema Cayley-Hamilton)XX
- 2020-II: 1(sel)
, 2a(bilineal)XX
, 2bXX(bilineal y simétrica)
, 3a(forma bilineal, cuadrática)
, 3b(bilineal, matriz respecto a una base canónica)
, 4(determinante)XX
- 2021-I: 1(base del núcleo)
, 2(matriz respecto a las bases)
, 3(traza de matriz en otras bases)
, 4a(dependencia lineal de funcionales)
, 4bXX(f. lineal)
- 2021-II: 1(núcleo)
, 2(cambio de base)X
, 3(fma, trilineal)XX
, 4(cambio de base)X
- 2022-I: 1a(relación entre matrices asociadas a una TL)X
, 1b()X, 1c(cambio de bases)X, 2a(cambio de base)X
, 2b, 3(matriz inversa)
, 4(aplicación sistema de ecuaciones)
- 2023-I: 1a(TL)X
, 1b(isomorfismo)X, 1c(propiedad de transpuesta e inverso de una matriz)X
, 2(matriz asociada a una matriz)X
, 3(rango)
, 4i(equivalencia)X
, 4ii(equivalencia)X
///// - 2023-II: 1(transpuesta)
, 2(bases de composicón de TL)
, 3a(SEL homogeneo)
, 3b(rango)
, 3c(fma)XX
, 3d(fma y det)XX
, 4a(sel homogeneo)
, 4b(sel homogeneo)
- 2024-I: 1(matrices)XX
, 2(fma)
, 3a(fma)XX
, 3b(det)XX
, 4(det)XX
- 2025-II: 1a
, 1b
, 1c
, 1d
, 2
, 3
, 4
- (1) Menores cofactores adjunta determinante calculo repasar
- (2) Bilineales alteradas suma directa
- (3) Proceso de Ortogonalizacion de Gram smth
- (PD 4)
- (EXAMEN PARCIAL)
- 2020-I: 1
, 2(isomorfismo, espacio cociente)
, 3(funcional lineal, anulador)
, 4a(r-lineal alternada)
, 4b(determinante)XX
- 2020-II: 1(invariante)
, 2
, 3(espacio dual)
, 4(matriz cambio de base)
- 2021-I: 1a(base)
, 1b(matriz cambio de base)X
, 2(TL)
, 3(proyección)
, 4(determinante)
- 2021-II: 1(subesp. vectoriales)
, 2(tipos de TL)
, 3(ismorfismo y equivalencia)
, 4
- 2022-I: 1a
, 1b
, 2(TL, núcleo, rango)
, 3(cambio de base)X
, 4a(bilineal)XX
, 4b(fma)XX
, 4c(determinante)XX
, 4d(fma)XX
- 2023-I: 1(base dual)XX
, 2()
, 3(matriz escalonada reducida, rango)
, 4(TL cambio de base)X
- 2023-II: 1a(sev)
, 1b(espacio cociente, dimensiones)
, 1c(suma directa)
, 1d(teorema núcleo de un isomorfismo)X
, 2(ev)
, 3(base dual)X
, 4(teorema dimensiones)x
, 5(matrices, inducción)XX
- 2024-I: 1a(inyectiva, li)
, 1b(sobreyectiva, generador)
, 2(cambio de base)
, 3(fma, determinante)XX
, 4a(SEL, rango)
, 4b(cambio de base)
- 2025-I: 1a(dimensión, espacio cociente)
, 1b(inversa por la izquierda)
, 1c(suma directa)
, 2a(anulador)
, 2b(transpuesta de TL)X
, 3(TL)
, 4(SEL, matrices)
- 2025-II (repaso): 1(monomorfismo)
, 2(suma directa)
, 3
, 4
, 5
, 6
, 7
, 8
, 9
, 10
, 11
, 12
, 13
, 14
, 15
, 16
.
- (PD 5)
- 2023-I:




- 2025-II: 1
, 2
, 3
, 4
, 5
, 6
, 7
, 8
, 9
, 10
, 11
, 12
, 13
, 14
, 15
, 16
, 17
,
- (PRÁCTICA CALIFICADA 4)
- 2019-II: 1(determinante)XX
, 2(matrices semejantes)
, 3a(determinantes)XX
, 3b(determinantes)XX
, 4(producto interno)
, 5(base ortonormal)XX
////////////





- 2020-I: 1(invariante)
, 2(producto interno, adjunta)XX
, 3(forma de Jordan)
, 4(forma de Jordan)
//////////////



- 2020-II: 1(producto interno)X
, 2a(producto interno)X
, 2b-i(ortogonalidad)XX
, 2b-ii-iii(base ortonormal, ortogonal)XX
, 3(autovector y autovalor)
, 4(pol. minimal y diagonizable)
////////////////////




- 2021-I: 1a(lineal)XX
, 1bc(Reisz, adjunta)XX
, 2(base ortogonal)XX
, 3(autovalor y autovector, diagonizable)
, 4a(endoformismo inversible)
, 4b(endoformismo invertible)
//////////////////////////



- 2021-II: 1a(ortogonalidad li)XX
, 1b(ortogonalidad base)XX
, 1c(ortogonalidad ortonormal)XX
, 2(ortogonalidad)XX
, 3(polinomio minimal)XX
, 4(polinomio minimal)
///////////////////


, 3a()
, 3b()

- 2022-I: 1a(TL)
, 1bc(determinante)XX
, 2(base ortonormal)XX
, 3(base ortogonal)XX
, 4(producto interno)XX
/////////////////////////




- 2023-I: 1(SEL)
, 2(SEL)
, 3(determinante)XX
, 4(determinante)XX
//////

- 2024-I: 1(producto interno)XX
, 2(Gram-Schmidt)XX
, 3(autovalores)
, 4(autovalores)
- 2025-I: 1a(bilineal)XX
, 1b(determinante)XX
, 1c(producto interno)XX
, 1d(norma)XX
, 2(matriz asociada a TL, determinanteXX)
, 3a(determinante)XX
, 3b(determinante)XX
, , 4a(forma bilineal)XX
, 4b(forma simétrica)XX
//////3(determinante)
, 4(bilineal)
- 2025-II: 1a(polinomio característico)
, 1b(polinomio característico)
, 1c(polinomio minimal)XX
, 1d(diagonizable)
, 2
, 3(THC)
, 4(subespacios invariantes)
- (1) Autovalores y autovectores. Matrices y transformaciones diagonalizables. Polinomio caracteristíco.
- (2) Caracterización de matrices diagonalizables. Polinomios minimales de una matriz, de una transformación, de un vector.
- (3) Teorema de Hamilton-Cayley. Criterio de diagonalización mediante el polinomio minimal.
- (4) Subespacios invariantes. Complemento invariante.
- Repaso: 1
, 1a
, 1b
, 1c
, 1d
, 







, 2









, 3









, 4










- asd
- (PRÁCTICA CALIFICADA 5)
- 2020-I: 1(polinomio minimal)XXX
, 2(proyección)
, 3(nilpotente cambio de base)X
, 4a(Cayley-Hamilton)
, 4b(nilpotente diagonizable)
- 2021-I: 1a(polinomio minimal)XX
, 1b(Cayley-Halmilton)
, 2(subespacio invariantes)
, 3(nilpotente cambio de base)X
, 4a(semejanza)
, 4b(semejanza)
- 2022-I: 1(polinomio característico y mínimo)XXX
, 2(diagonizable)
, 3(sev variantes)
, 4()
- 2023-I: 1a(Gram-Schmidt)XX
, 1b(conjunto ortogonal)X
, 2(producto interno)
, 3(diagonizable)
, 4(t. cayley-hamilton)
//////////////1
- 2023-II: 1a
, 1b
, 1c
, 1d
, 1e
, 2
, 3
, 4
- 2025-1: 1a(isomeria, norma)XX
, 1b(isomeria)XX
, 2(base ortonormal)XX
, 3(producto interno, ortogonalidad, Gram-Schmidt)XX
, 4(jordan aplicativo)
- (PD 6)
- 2023-I:







- 2025-II: 1
, 2
, 3
, 4
, 5
, 6
, 7
, 8
, 9
, 10
, 11
, 12
, 13
, 14
, 15
- ---------------------------(LIBRO, 6-DIAGONALIZACIÓN)1(PD7-1-2)a
, 1c
, 3(PD7-6)a
, 3b
, 3c
, 4(PD7-7)a
, 4b
, 5(PD7-8)
, 6(PD7-9)
, 7(PD7-10)
, 8
, 9
, 10(PD7-11)
,11(PD7-12)
, 12(PD7-13)
, 13
, 14(PD7-14)
, 15(PD7-15)
, 16(PD7-18)
, 17
, 18
, 19
, 20(PD7-23)
, 21(pd7-29)
, 23(pd7-31)
, 25(pd7-32)
, 26(pd7-34)
, 27
, 29
, 31
, 32(pd7-36)
, 33(pd7-37)
, (34)
- ---------------------------(libro 7-FORMAS DE JORDAN)1
, 2
, 3
, 4(pd7-40)
, 5
, 6
, 7
, 8(pd7-42)
, 9(pd7-43)
, 9a
, 9b
, 9c
, 9d
, 9e
, 9f
, 9g
, 10
, 11
, 12(pd7-44)
, 13(pd7-45)
- 2025-II: (




), 1(6-1), 2(6-2), 3
, 4
, 5
, 6(6-3)a
, 3b
, 3c
, 7(6-4)a
, 7b
, 8(6-5)
|
, 9(6-6)
, 10(6-7)
, 11(6-10)
, 12(6-11)
, 13(6-12)
, 14(6-14)
, 15(6-15)
, 16
, 17
, 18(6-16)
, 19
, 20
, 21, 22
, 23(6-20)
, 24, 25
, 26, 27
, 28
, 29(6-21)
, 30(29-22), 31(6-23)
, 32(6.25)
, 33(gr), 34(6.26)
, 35(6-30), 36(6-32)
, 37(6-33)
, 38
, 39, 40(7-4)
, 41, 42(7-8)
, 43(7-9)
, 44(7-12)
, 45(7-13)
- (PD 7)
- (PRÁCTICA CALIFICADA 6)
- 2020-I: 1(autovalor y autovector)X
, 2(forma y base de Jordan)X
, 3(potencia)
, 4(potencia)
- 2021-I: 1(cambio de base de Jordan)X
, 2(polinomio característico)
, 3(polinomio característico y minimal)XX
, 4
- 2022-I: 1(nilpotente cambio de base)X
, 2(base de Jordan)X
, 3(semejanza)
, 4(potencia)
- 2023-I: 1(ortogonal)
, 2(producto interno, ortogonalización)
, 3(base y forma de jordan)X
, 4(forma de jordan)X
- 2023-II: 1a(nilpotente)
, 1b(pol. caracteristico)
, 1c(jordan nilpotente)
, 1d(semejanza)
, 2a(invariante)
, 2b()
, 3(forma y base de Jordan)X
, 4ab(característico, minimal, exponencial)XXX
- 2024-I: 1
, 2
, 3
, 4
, 5
, 6
- (EXAMEN FINAL)
- 2013-I: 1(cónicas)X
, 2(cónicas)X
, 3(relación de equivalencia)X
, 4(cónicas)X
- 2020-I: 1(producto interno, ortogonalidad)XX
, 2(diagonizable)
, 3(formas de Jordan)
, 4(forma canónica de Jordan)X
/////////
- 2020-II: 1(Gram-Schmidt)XX

, 2(proyección ortogonal)XX
, 3(autovalor y autovector)
, 4(exponencial de matriz)X
//////////

- 2021-I: 1(Gram-Schmidt, Reisz)XX
, 2(nilpotente, pol. minimal, invariante)
, 3a(rango y diagonabilidad)
, 3b(semejanza)
, 4(forma y base de Jordan)X
//////////////////////
- 2021-II: 1(producto interno, norma)XX
, 2(diagonalización)
, 3(diagonalización)X
, 4a(polinomio característico y minimal)
, 4b(semejantes)
, 4c
////////
- 2022-I: 1a(producto interno)XX
, 1b(ortogonalidad)XX
, 2(polinomio minimal)
, 3(diagonalización)X
, 4(diagonizable)
//////////////////

- 2023-I: 1a(ortogonalidad)XX
, 1b(ortogonalidad)XX
, 1c(invariante, ortogonalidad)
, 2(diagonalización)
, 3(diagonalización)
, 4(cónica degenerada y polo)X
////////////////////////////
- 2023-II: 1a(determinante)
, 1b(nilpotente)
, 2a(gram-schmidt)XX
, 2b(vectores ortogonales)XX
, 3(potencia n, semejanza)X
, 4(forma base de Jordan)X
- 2024-I: 1a(pol. característico)
, 1b(matrices)XX
, 2(coord. homogéneas)
, 3(forma de Jordan)
, 4(cónicas)X
- 2024-I: 1
, 1
, 2
, 3
, 4
, 5
, 6
, 7
, 7
, 8
, 8
, 8
, 9
, 10
, 11
, 12
, 13
, 14
, 15
, 16
, 17
, 18
, 18
, 19
, 20
- 2025-I: 1a
, 1b
, 1c
, 2
, 3
, 4
- 2025-II: 1a
- (1) pregunta teórica: Caracterización de matrices diagonalizables, Polinomio minimal, Teorema de Cayley-Hamilton. Criterio de diagonalización por polinomio minimal. Subespacios invariantes
- (2) Pregunta de cálculo: Formas multilineales. Determinante. Menores y Cofactores
- (3) Pregunta de demostración: Espacio producto interno. Proceso de ortogonalización de Gram Schmidt. Teorema de representación de Rietz. Subespacios Ortogonales
- (4) Pregunta de aplicación: expo
- (EXAMEN SUSTITUTORIO)
- 2020-I: 1(espacio dual)
, 2(autovalores)
, 3(forma de Jordan)X
,4(ecuaciones diferenciales)
//////



- 2020-II: 1(isomorfismo)
, 2a(invariante)
, 2b(invariante)
, 3(forma canonica de Jordan)X
, 4(coordenadas)
//////////////////////




- 2021-I: 1a(composición de TL)
, 1b(TL)
, 2a(Gram-Schmidt)XX
, 2b(ortogonalidad)XX
, 3(invariantes)
, 4(exponencial de una matriz)
////////////////////////////////
2(producto interno)X



- 2022-I: 1(suma directa)
, 2(forma de Jordan)X
, 3(isomorfo)
, 4(base ortogonal)
//////////////////



- 2023-I: 1(ec. lineal)
, 2(ortogonalidad)
, 3(determinante)
, 4(forma de Jordan)X
//////////////



- 2023-II: 1a(TL)
, 1b(TL)
, 1c(TL)
, 1d(relación inyectiva y monomorfismo)
, 1e
, 2
, 3(diagonabilidad y exponencial de matriz)X
, 4(forma y base de Jordan)X
- 2024-I: 1(TL)
, 2(coordenadas homogéneas)
, 3(invariante, adjunta)
, 4(forma de Jordan)
. - 2025-I: 1, 2, 3, 4(ep-241).
- ashttps://www.ugr.es/~jurbano/aed/AED-Tema_4-Espacios_vectoriales.pdf
- https://www.ugr.es/~rcamino/docencia/geo1-03/g1tema1.pdf
- https://www.uv.mx/personal/aherrera/files/2014/08/21c.-TRANSFORMACIONES-LINEALES-3.pdf
No hay comentarios.:
Publicar un comentario