- (PD 1: sesión 1, 2, 3)
- 2020-I: 1a
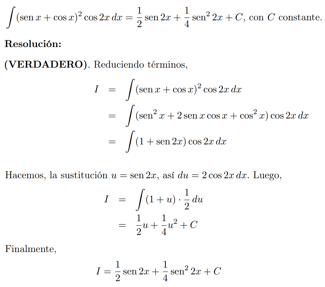
, 3d(sustitución)X
, 5a(sustitución con condición)X
, 6b(por pates)X
, 9(principio de inducción)X
, 11a(sumatorias)
, 12
, 16a
- (PRÁCTICA CALIFICADA 1)(sesión 1-3)
- 2020-I: 1a(antiderivada)
, 1b
, 1c
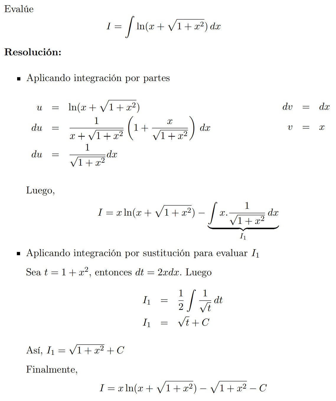
, 1d(integración por partes)
, 2
, 3
, 4
, 5(integral inferior y superior)
- 2021-I: 1a(antiderivada)X
, 1b
, 1c(antiderivada)X
, 1d
, 2
, 3
, 4a(sustitución)
, 4b(integración por partes)
, 5
- 2021-II: 1a(antiderivada)X
, 1b()X
, 1c
, 1d
, 2
, 3
, 4a
, 4b
, 5
- 2022-I: 1a(antiderivada)X
, 1b
, 1c
,1d
,2
, 3a
, 3b
, 4
, 5(sumatorias y area)
- 2022-II: 1a(antiderivada)X
, 1b(antiderivada)X
, 1c(antiderivada)X
, 1d(antiderivada)X
, 2(aplicación de la integral)
, 3a(derivar)
, 3b(sustitución con condición)X
, 4a(sustitución)X
, 4b(integración por partes)X
, 5
- 2023-I: 1a(antiderivada)X
, 1b
, 1c()X
, 1d()
, 2(aplicación)
, 3
, 4a(sustitución)
, 4b(por partes)
, 5a(geométrico)
5b(sustitución)
- 2023-II: 1a
, 1b
, 1c
, 1d(sustitución)
, 2(aplicación)
, 3a(integración por partes)
, 3b(sustitución)
, 4(gráfica área)
, 5
- 2023-III:



- (PD 2: sesión 4, 5, 6)
- 2021-II: 1(sumas de Riemann)X
, 4(suma superior)X
, 5a(integral definida como limite de la suma)X
, 6a(integral definida como limite de la suma)X
, 8a(propiedades de la integral definida)X
, 13(1TFC)X
, 16
- (PRÁCTICA CALIFICADA 2)(sesión 4-6)
- 2020-I: 1aX
, 1bX
, 1c(TVM para integrales)X
, 1d(regla de Simpson)
, 2(la integral definida como límite de una suma)X
, 3
, 4(regla de simpson)
, 5(logaritmo natural, integral como límite, )
- 2021-1: 1aX
, 1b(TVM para integrales)X
, 1c(propiedades de la integral definida)X
, 1d(área de la integral definida)X
, 2(1 TFC)X
, 3(regla del trapecio y Simpsons)
, 4(cambio de variable de una integral definida)
, 5(integral como límite)X
- 2021-II: 1a(sustitución)
, 1bX
, 1c(TFC)X
, 1d(TVM para integrales)X
, 2X
, 3a
, 3b
, 4
, 5a
, 5b
- 2022-I: 1a
, 1b
, 1c
, 1d
, 2
, 3
, 4
- 2022-II: 1a
, 1b
, 1c
, 1d
, 2
, 3a
, 3b
, 4(áreas regiones conocidas)
, 5
- 2023-I: 1a
, 1b
, 1c
, 1d
, 2()
, 3(aplicación)
, 4
, 5(integral def. como límite de una suma)
- 2023-II: 1a(TVM)
, 1b(cotas para el error)X
, 1c(logaritmo neperiano)
, 2(método de trapecio y Simpson)X
, 3(1ra y 2d derivada)
, 4()
, 5()
- (PD 3: sesión 7, 8, 9)
- 2021-II: 1c(regla del trapecio y Simpson)X
, 5e(cambio de variable)X
, 7(cambio de variable)X
, 14(TVM)X
, 16
, 19
, 23(1er teorema fundamental)X
- 2023-III:

//















- (PD 4: sesión 10, 11, 12)
- 2021-II: 2(hiperbólicas)X
, 5(hiperbólicas)X
, 6(aplicación)X
, 7a(fracción parcial)X
, 9d(fracción parcial)X
, 11b(fracción parcial)X
, 12f(binomio diferencial)X
- 2023-III:

//







- (EXAMEN PARCIAL)
- 2020-II: 1a(integral definida propiedades)
, 1b(integral definida)
, 1c(integral definida)
, 1d(antiderivada)
, 2
, 3(1er TFC, sustitución)
, 4a(sustitución trigonométrica universal)
, 4b(sustitución, integración por partes)
, 5(integración por partes)
- 2021-I: 1a(inducción matematico)
, 1b(integral definida)
, 1c(integral definida)
, 1d(integral definida)
, 2(integración por partes)
, 3(1er TFC)
, 4(1er TFC)
, 5a(sustitución, fracciones parciales)X
, 5b(integración por partes)
- 2021-II: 1a
, 1b(1er y 2do TFC)
, 1c(integral definida como límite de una suma)
, 1d(integrabilidad)
, 2(1er TFC)
, 3(TFC, sustitución hiperbólica)
, 4a(sustitución)
, 4b(fracciones parciales)X
, 4c(sustitución)
- 2022-I: 1a(integral definida propiedades)
, 1b(TVM)
, 1c(integral definida)
, 1d(integral definida)
, 2(prob. geométrico)
, 3a(f. hiperbolicas)X
, 3b(f. hiperbólica inversa)X
, 4a(sustitución universal)X
, 4b(binomio diferencial)X
- 2022-II: 1a
, 1b(TVM)x
, 1c(TFC)X
, 1d
, 2(halle la región)
, 3(área e integral definida)X
, 4a(sustitución universal)X
, 4b(sustitución trigonométrica)X
- 2023-I: 1a(área e integral definida)X
, 1b()
, 1c(1ra TFC)X
, 1d(f. hiperbólicas)X
, 2
, 3a(1ra TFC)
, 3b(integral definida como límite de una suma)X
, 4a(sustitución)
, 4b(fracción parcial)X
, 5(sustitución)

- 2023-II:

- 2024-I: 1a
, 1b
. 1c
, 2
, 3
, 4
- 2024-II: 1a
, 1b
, 1c
, 2
, 3
, 4
- 2025-I: 1a
, 1b
, 1c
, 2
, 3
, 4
- (PRÁCTICA CALIFICADA 3)(sesión 7-12)
- 2020-I: 1a()
, 1b(áreas de regiones planas)X
, 1c(volumen de un sólido de revolución)X
, 1d(volumen de un sólido de revolución)X
, 2
, 3(áreas de regiones planas)X
, 4a
, 4b
, 5
- 2021-I: 1a
, 1b
, 1c
, 1d
, 2
, 3
, 4
, 5
- 2021-II: 1a
, 1b(volumen sólido de revolución)
, 1c(capas cilíndricas)
, 1d(volumen, sección transversal)
, 2a(área de region)
, 2b(capas cilindricas, int. por partes)
, 3(área de región)
, 4a(fracciones parciales)
, 4b(sustitución universal)
, 5
- 2022-I: 1a(área de regiones)
, 1b(área e regiones)
, 1c(metodo del disco)
, 1d(capas cilíndricas)
, 2(área de regiones)
, 3(prob geo)
, 4(volumen, seccion transversal)
, 5(sustitución, fracciones parciales)
- 2022-II: 1a(área de región)
, 1b(área de región)
, 1c(volumen sección transversal)
, 1d(método del disco)
, 2(volumen sección transversal)
, 3(áras de regiones)
, 4(volumen solido de rotación, método anillo y disco)
- 2023-I: 1a(sustitución)
, 1b(1er TFC)
, 1c(sustitución trigonométrica)X
, 1d(fracción parcial)X
, 2(regla de Simpson)
, 3(límite)
, 4a(sustitución universal)X
, 4b(binomio)X
, 5(sustitución, IT)
- 2023-II: 1a
, 1b
, 1c
, 1d
, 2a
, 2b
, 3
, 4
, 5
- (PD 5)(sesión 13, 14, 15)
- 2020-II: 1g(área de regiones planas)X
, 3(área de regiones planas)X
, 5(área de regiones planas)X
, 6c(área de regiones planas)X
, 8(volumen de un sólido en función de las áreas de las secciones transversales perpendiculares)X
, 11(método de las capas cilíndricas)X
, 12e(método del disco)X
, 18(método del disco)X
- 2023-III: 1a
, 1c
, 1f
, 2
, 6a
, 6b
, 6d
, 9
, 12a
, 13
, 14
, 16
- (PD 6)(sesión 16, 17, 18)
- 2021-II: 5(coord. polares)X
, 6b(intersección de coor. polares)X
, 7g(tangencia en coord. polares)X
, 9(tangencia de coord. polares)X
, 13(área de una curva polar)X
, 19(volumen SG paramétrica)X
, 22(volumen SG polar)X
- 2023-III: 3b
, 6i
, 6j
, 7b
, 7c
, 7d
, 7f
, 7h
, 11
, 12
, 16a
, 18a
, 23
- (PRÁCTICA CALIFICADA 4)(sesión 15-17)
- 2020-I: 1a(transformación)
, 1b(simetría respecto al polo)
, 1c(tangencia)
, 1d(área curva polar)
, 2(aplicación, área curva polar)
, 3(área curva polar)
, 4a(intersección)
, 4b(tangencia horizontal)
, 5(volumen SG polar)
- 2021-I: 1a(gráfico)
, 1b(coord. polares)
, 1c(coord. polares)
, 1d(área de curvas polares)
, 2(área curvas polares)
, 3(aplicación, área de curvas polares)
, 4a(volumen SG coord. polares)
, 4b(volumen SG paramétricas)
, 5a(coord. polares)
, 5b(coord. polares)
- 2021-II: 1a(transformación de coord. polares)
, 1b(simetría en coord. polares)
, 1c(tangencia en coord. polares)
, 1d(área de curvas polares)
, 2(área de curvas polares)
, 3(volumen SG curva)
, 4(aplicación, área de curvas polares)
, 5(tangencia vertical, horizontal en coord. polares)
- 2022-I: 1a(gráfica simetría coord. polares)
, 1b(área de una curva polar)
, 1c(paramétricas a coord. polares)
, 1d(volumen SG coord. polares)
, 2(tangencia en coord. polares)
, 3(área de curvas polares)
, 4a(coord. polares)
, 4b(simetría, extensión, tabulación en coord. polares)
, 5(volumen de SG por región)
- 2022-II: 1a(simetría coord. polares)X
, 1b(tangencia en coord. polares)X
, 1c(intersección en coord. polares)
, 1d(área de curva polar)X
, 2a(polar a cartesiana)X
, 2b(intersección de curvas polares)X
, 2c(graficación de coord. polares)X
, 3(áreas polares)X
, 4(volumen SG coord. polares)X
, 5(volumen SG coord. polares)X
- 2023-I: 1a(área de una curva)
, 1b(volumen SG)
, 1c(coord. polares)
, 1d(coord. polares)
, 2(coord. polares)
, 3(área de curvas)
, 4(volumen SG)
, 5(área coord. polares)
- 2023-II: 1a(long. arco)
, 1b(área rectangular)
, 1c(centroide)
, 1d(Pappus)
, 2(área SG rect)
, 3(Pappus)
, 4(long. arco)
, 5(Pappus)
- (PD 7: 18, 19, 20)
- 2020-I: 1c(longitud de una curva)
, 4d(área de rotación de una curva)
, 6(centro de masa)X
, 8e(centroide)X
, 10(área de rotación de un arco)
, 13(t. de Pappus)x
, 17(volumen del SR de una región)
, 21(aplicación a problemas físicos)
- (PD 8)
- 2020-I: 2(ec. dif. de primer orden)X
, 4(método separación de variables)
, 6
, 8
, 12(ec. impropia)
, 14(criterio de convergencia)
, 16d(convergencia)
, 16q(convergencia)
- (PRÁCTICA CALIFICADA 5)
- 2020-I: 1a(longitud de arco)X
, 1b(área SG polar)X
, 1c(centroide)X
, 1d(volumen SG)
, 2(longitud de arco)X
, 3(aplicación)X
, 4(Pappus)X
, 5(aplicación para físicos)X
- 2021-I: 1a(longitud de arco)X
, 1b(área SG)X
, 1c(centroide)X
, 1d(Pappus)X
, 2(Pappus)X
, 3a(longitud de arco paramétrica)X
, 3b(longitud de arco cartesiana)X
, 4(volumen SG polar)X
, 5(aplicación para físicos)X
- 2021-II: 1a(longitud de arco)X
, 1b(área SG)X
, 1c(centroide)X
, 1d(Pappus)X
, 2(Pappus)X
, 3a(longitud de arco paramétrica)X
, 3b(longitud de arco polar)X
, 4(área SG paramétrica)X
, 5(aplicación para físicos)X
- 2022-I: 1a(centroide)X
, 1b(volumen SG)X
, 1c(longitud de arco)X
, 1d(área de SG polar)X
, 2(aplicación para físicos)X
, 3(gráfico, longitud de arco)X
, 4(área SG)X
, 5(volumen SG)X
- 2022-II: 1a(centroide)X
, 1b(volumen SG)X
, 1c(longitud de arco)X
, 1d(área SG polar)X
, 2(aplicación para físicos)X
, 3
, 3a(centroide)X
, 3b(Pappus)X
, 4(área SG paramétrica)
, 5(longitud de curva, área SG)X
- 2023-I: 1a(centroide)X
, 1b(volumen SG)X
, 1c(longitud de arco)X
, 1d(t. Pappus polar)X
, 2(aplicación, área coord. polares)X
, 3(aplicaciones para físicos)X
, 4(longitud de arco polar)X
, 5(centroide, Pappus)X
- 2023-II: 1a(EDO)X
, 1b(EDO Bernoulli)X
, 1c(EDO homogénea)X
, 1d(EDO)
, 2(crecimiento exp)
, 3a(impropia)
, 3b(EDO)
, 4(crecimiento exponencial)
- (EXAMEN FINAL)
- 2020-I: 1a(Pappus)X
, 1b(coord. polares, transformación)X
, 1c(EDO)
, 1d(impropia)X
, 2(crecimiento exp)X
, 3(EDO, crecimiento exp., impropia)
, 4(long. arco, gamma)X
, 5a(impropia)X
, 5b(impropia)X
, 5c(impropia)X
- 2021-I: 1a(área cilíndrica)X
, 1b(impropia)X
, 1c(gamma beta)X
, 1d(impropia)X
, 2(centroide, Pappus)X
, 3a(área polar)X
, 3b(volumen SG polar)X
, 4(crecimiento exp)X
, 5a(impropia)X
, 5b(impropia)X
- 2021-II: 1a(área, capa cilíndrica)X
, 1b(recta tan. polares)X
, 1c(impropia)
, 1d(gamma beta)X
, 2(área polar, longitud de arco)X
, 3(crecimiento exp)X
, 4a(área capa cilíndrica)X
, 4b(área capa cilíndrica)
, 5(gamma y beta)X
- 2022-I: 1a(EDO)
, 1b(centroide)X
, 1c(trig. hiperbólicas)X
, 1d(impropia)X
, 2(crecimiento exp.)X
, 3(centroide, Pappus)X
, 4a(EDO)
, 4b(área coord. polares)X
, 5a(impropia)X
, 5b(impropia)X
- 2022-II: 1a(EDO)
, 1b(área, anillo)X
, 1c(long arco)X
, 1d(impropia)X
, 2(crecimiento exp.)X
, 3(área)X
, 4(rect tan. coord. polares)X
, 5(long. arco, área SG)X
- 2023-I: 1a(centroide)X
, 1b(curva paramétrica)
, 1c(EDO)
, 1d(impropia)X
, 2(impropia)X
, 3(área)X
, 4(centroide, Pappus)X
, 5(long. curva polar)X
- 2023-II: 1a(Pappus)
, 1b(gamma)X
, 1c(impropia)X
, 1d(Taylor)
, 2(crecimiento exp.)
, 3(volumen, capas cilíndricas)
, 4(impropia)X
- (EXAMEN SUSTITUTORIO)
- 2020-I: 1a
, 1b
, 1c(impropia)
, 1d(EDO)
, 2
, 3
, 4a(EDO)
, 4b(EDO)
, 5a
, 5b
- 2021-II: 1i
, 1ii
, 1iii
, 1iv(impropia)
, 2a
, 2b
, 3a
, 3b
, 4
, 5
- 2022-I: 1a
, 1b
, 1c
, 1d
, 2
, 3
, 4a
, 4b
, 5
- 2022-II: 1a
, 1b
, 1c
, 1d
, 2
, 3
, 4a
, 4b
, 5
- 2023-I: 1a
, 1b
, 1c(fracciones parciales)
, 1d
, 2
, 3a
, 3b(área)
, 4a
, 4b(sust. universal)
, 5a(área polar)
, 5b(long. curva polar)
- 2023-II: 1a
, 1b(beta)
, 1c(volumen SG polar)
, 1d(núm. trascendental)
, 2
, 3
, 4
- ()
- Aritmética
- Álgebra
- Geometría
- Trigonometría
- Física
- Química
- Razonamiento Matemático
- Humanidades
- Lenguaje
- Literatura
- Inglés
- Historia
- Geografía
- Economía
- Filosofía
- Psicología
- Razonamiento Verbal
- Pruebas de selección
- Pruebas calificadas
- Exámenes parciales
- Exámenes de admisión
- Preguntas teóricas
- Aprendiendo a aprender
- Seminarios
- Actualidad
- FC: Ciencias de la Computación
- Mensajes guardados
- Pruebas
- CM1H2
- CM2H1
- Cálculo Diferencial
- Cálculo Integral
- Álgebra Lineal
- Álgebra Lineal I
- CM2A1
- BEG01
Buscar este blog
domingo, 2 de abril de 2023
Cálculo Integral: Prácticas y exámenes
Suscribirse a:
Comentarios de la entrada (Atom)
No hay comentarios.:
Publicar un comentario