- (recta tangente a la gráfica de una función)
- (ejm 1)
- (la derivada de una función)
- (def 1)
- (otras notaciones para la derivada)
- (definición formal de la recta tangente)
- (def 4)
- (def 5)
- (nota)(prob 7, 8, 9, 10, 11)
- (diferenciación de funciones especiales)
- ()
- (teoremas sobre derivadas)
- (teorema 1)
- (teorema 2: diferenciabilidad implica continuidad)(corolario)
- (ejemplos)(corolario)
- (teorema 3)(corolario)(ejm)
- (ejercicio)(problema 9, 10)
- (teorema 4)(corolario)(ejer 13)
- (derivada de una función compuesta)
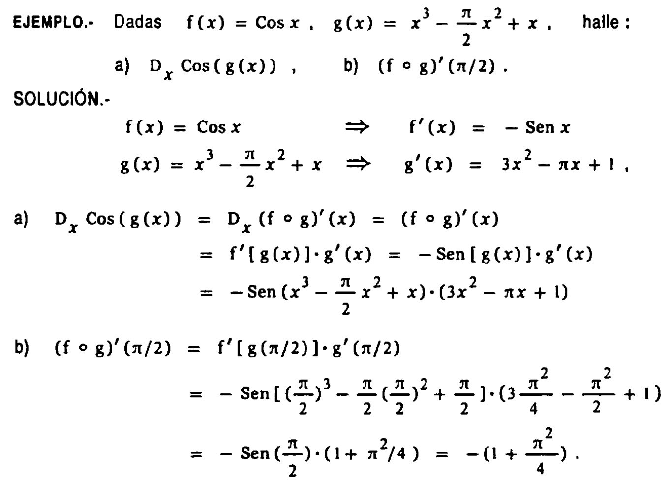
- (teorema: regla de la cadena)(obs)(ejm)
- (nota)
(aplicación 6)
(ejemplos 7)
(prob 8)
(ejemplos 9)
- (corolario)
- (corolario)(ejemplos 12)
- (notación de Leibniz para la regla de la cadena)(ejm 14)
(ejm 15)
(ejercicios)
- (problemas resueltos)
- (derivadas laterales)(ejm 1)
- (teorema)
- (límite lateral de la derivada y derivada lateral (no es lo mismo))(ejm 4)
- (significado geométrico del límite lateral de la derivada en x=a)
- (funciones no diferenciales)(prob 1)
- (diferenciabilidad y continuidad)
- (tópicos sobre análisis de la diferenciabilidad)
- (derivadas de orden superior)
- (derivación implícita)
- (diferenciales)
- (diferenciales de orden superior; error relativo y error porcentual aproximado)
- (razón de cambio instantáneo, velocidad instantánea)
- (representación de curvas paramétricas. derivadas)
- (trazado de curvas paramétricas)
- (serie de problemas)
- (claves de respuestas)
(recta tangente a la gráfica de una función)

(la derivada de una función)


(diferenciación de funciones especiales)
(teoremas sobre derivadas)




(derivada de una función compuesta)







(problemas resueltos)
(derivadas laterales)

(funciones no diferenciales)




(diferenciabilidad y continuidad)
(tópicos sobre análisis de la diferenciabilidad)









(derivadas de orden superior)
(derivación implícita)

(diferenciales)



(diferenciales de orden superior; error relativo y error porcentual aproximado)

(razón de cambio instantáneo, velocidad instantánea)






(representación de curvas paramétricas. derivadas)



(derivada de curvas paramétricas)


(trazado de curvas paramétricas)(simétricas)
(puntos críticos de una curva paramétrica)





(serie de problemas)
















(claves de respuestas)












































































































































No hay comentarios.:
Publicar un comentario