- (introducción)
- (derivada de una función en un punto)
- (interpretación geométrica de la derivada)
- (derivadas laterales)
- (def 3: la derivada por la izquierda)
- (def 4: la derivada por la derecha)
- (proposición 1)
- (proposición 2)
- (obs 2)(ejm 6
)
- (obs 3)(ejm 7
, 8
, 9
, 10
, 11
)
- (recta tangente y recta normal a una curva en un punto)
- (reglas de derivación)
- (derivadas de una función compuesta)
- (lema 1: )
- (teorema 3: regla de la cadena)
- (corolario)
- (obs 5)(ejm 22
, 23
, 24
, 25
, 26
, 27
, 28
, 29
, 30
, 31
, 32
)
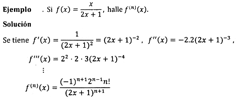
- (derivadas de orden superior)
- (derivación implícita)(ejm 43
)
- (diferenciales)
(derivada de una función en un punto)
(interpretación geométrica de la derivada)
(derivadas laterales)
(recta tangente y recta normal a una curva en un punto)
(reglas de derivación)
(derivadas de una función compuesta)


(ejercicios)

(derivadas de orden superior)




(diferenciales, interpretación geométrica de la diferencial)
(propiedades de la diferencial de una función)



No hay comentarios.:
Publicar un comentario