APLICACIONES DE LAS DERIVADAS Y POLINOMIO DE TAYLOR (teoría + problemas)
- (razón de cambio)
- (def 1: rcp y rci)
(ejm)
(ejm)
(ejercicio)
(EF)
(EF)
(PC)
(PD)
(PD)
(PD)
(PD)
- (teorema de Rolle)
- (teorema 1: teorema de Rolle)
(ejm)
(ejm)
(EF)
(PC)
(PD)
(PD)
- (ejm 1
, 2
, 3
, 4
, 5
, 6
, 7
, 8
, 9
), (ejm 1
, 2
, 3
, 4
), (ejm 1
, 2
, 3
)
- (teorema del valor intermedio)
- (teorema 2: teorema del valor intermedio de Lagrange)
(ejm)
- (teorema 3: teorema del valor generalizado)

- (ejm 1
, 2
, 3
, 4
), (ejm 1
, 2
, 3
, 4
, 5
), (ejm 1
) - (EF)
(PC)
(PC)
(PC)
(PC)
- (corolarios del teorema del valor medio)
- (corolario 1)

- (corolario 2)

- (teorema del valor medio generalizado)
- (teorema 1: teorema del valor medio generalizado)

- (teorema (primera regla de L'Hospital, forma 0/0 ))
- (teorema 2: primera regla de L'Hospital, forma 0/0 )

- (corolario 3)

- (corolario 4)

- (teorema (segunda regla de L'Hospital, forma ∞/∞))
- (teorema 3: segunda regla de L'Hospital, forma ∞/∞)
(ejm)
- (funciones monótonas)
- (recordando)
- (def 1)

- (condiciones suficiente para monotonicidad de funciones)
- (teorema 4: teorema de la derivada y monotonía)
(ejm)
- (EF)
(EF)
(EF)
(EF)
- (valores extremos de una función)
- (def 1: máximos y mínimos relativos o locales)

(PC)
(EF)
(EF)
(PC)
- (teorema 1: relación entre la derivada y valores extremos)
(EF)
- (teorema 2: Fermat)(def 2: punto crítico)
(ejm)
- (PC)
(PC)
(PC)
- (funciones convexas y cóncavas en el plano)
- (def 3: función convexa)

- (def 4: función cóncava)

- (teorema 3)
(obs)
- (PC)
(PC)
- (máximos y mínimos)
- (teorema 1: funciones convexas y cóncavas)
(ejemplos)
- (teorema 2. criterio de la primera derivada para extremos)
(PC)
- (método para hallar máximos y mínimos absolutos)
(ejm)
- (ES)
(EF)
(PC)
(PC)
(EF)
(PC)
(ES)
- (ejm 14
, 15
, 16
, 17
, 18
, 19
, 20
, 21
, 22
, 23
, 24
, 25
, 26
)
- (punto de inflexión)
- (def 1: punto de inflexión; teorema 3)

- (PC)
(PC)
(PC)
- (ejm 27
, 28
, 29
, 30
, 31
, 32
)
- (criterio de la segunda derivada)
- (teorema 4: criterio de la segunda derivada)
(PC)
(PC)
(PC)
- (probs)
- (asíntotas, gráficas)(ef)
(pc)
- (máx min)
- (funciones inversas y sus derivadas)
- (teorema 1)



(funciones inversas)


- (teorema 2)







- (teorema 3)
(ejm)

- (teorema 4)


(ejm)
- (PC)
(PC)
(PC)
(PC)
- (funciones trigonométricas inversas)
- (introducción)


- (función seno inverso)

- (función coseno inverso)

- (función tangente inverso)

- (funciones cot, sec, csc inverso)

- (derivada de inversas)
- (introducción)



- (funciones hiperbólicas)





- (derivadas de las funciones hiperbólicas)

- (funciones hiperbólicas inversas)










- (PC)
(EF)
(PC)
(PC)
- (gráfica de funciones)
- (polinomio de Taylor)
- (introducción)

(ejm)



- (def 1: polinomio de Taylor)
(ejm)

- (teorema 1: fórmula de Taylor)



- (teorema 2: caracterización de Taylor)


(ejm)
(ejm)
- (polinomio de Taylor de una composición)
(ejm)
- (EF)
(PD)
(PD)
(EF)
- (fórmula de Taylor con resto de Lagrange)
- (teorema 1: fórmula de Taylor con resto de Lagrange)

(ejm)
(ejm)
(ejm)

(ejm)
(ejercicio)
- ()
//
(teoremas)- (teorema 1: de Rolle, demostración)

(ejm)

(ejm)


- (teorema 2: del valor medio (Lagrange), demostración)

(ejm)
(ejm)


- (teorema 3: generalizado del valor medio (Cauchy), demostración)

- (corolario 1, demostración)

- (corolario 2, demostración)

- (probs)
//
//
- (teorema 4: L'Hopital (forma 0/0))
(demostración)

- (corolario 3)

- (corolario 4)
(demostración)
- (probs)






- (probs)




- (teorema 5: L'Hopital (forma ∞/∞))

- (probs)

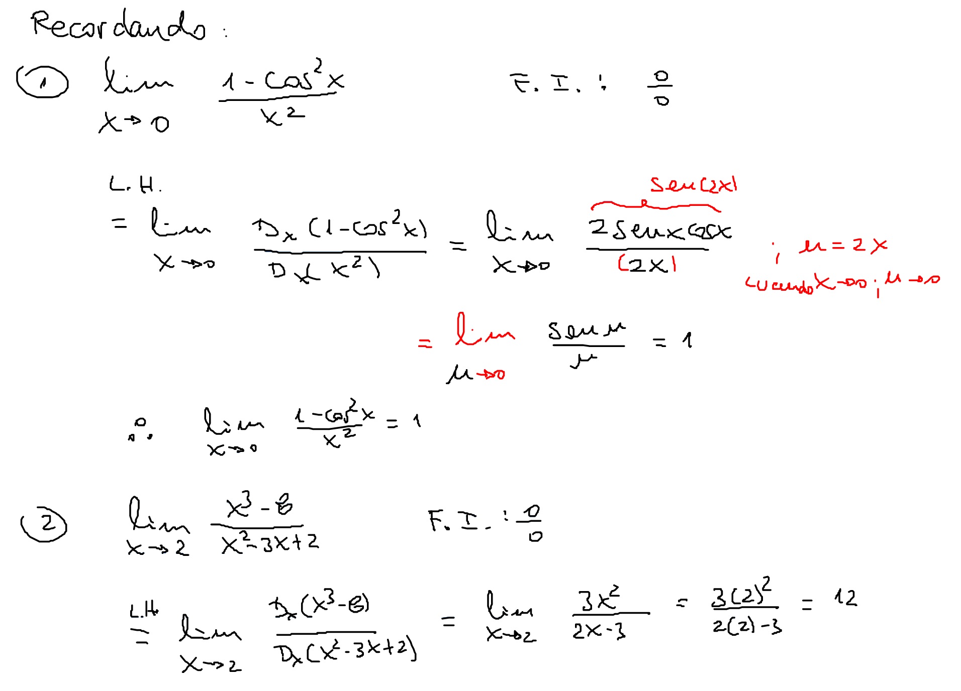
- (Ejemplos de L'Hopital)(ejm)
(ejm)
(ejm)
(ejm)
- (def 1: función monótona)
(ejm)

- (teorema 6: condiciones suficiente para que una función sea creciente(decreciente) sobre un intervalo)
(ejm)
(ejm)

- (recordando L'Hopital)
(recordando Monotonia)
(derivada y monotonía)- (valores extremos de una función: máximo y mínimo relativos o locales)
(gráfico)
//


- (teorema: derivada y valores extremos)
//
- (teorema de Fermat; def: punto crítico)
(ejm)
(obs)
- (teorema de Fermat: máximo y mínimos)
(ejm)
- (def: punto crítico)

- asd
(funciones convexas y cóncavas en el plano)- (def: convexa)
(def: cóncava)
- (teorema: cóncava y convexa)

- (teorema: f ''>0 convexa y f ''<0 concava )

(ejms)
- (teorema 1: criterio de la primera derivada: máximo y mínimo en Xo)
//
(recordando)
(obs)
(ejm)

- (teorema 2: máximo y mínimo absoluto)

(ejm)

- (ejm)
(ejm)
- (def: punto de inflexión, ejm)



- (teorema 3: f es dos veces derivable y tiene PI, ejm)

(ejm)
(ejm)
(ejm)
- (probs)





- (probs profe)





(criterio de la segunda derivada: máximo y mínimo locales)
(ejm)
//
- asd
- (probs)
- (funciones monótonas)













- (aplicaciones de máximo mínimos)













- (concavidad y puntos de inflexión)(ptos. de inflexión)






- (concavidad)



- (traza de gráfico)








- (asíntotas, pc, pi, gráfica)
- (mazimizar)
(función inversa)
- (teorema 1, demostración)

- (teorema 2, demostración)
(obs)



- (teorema 3, demostración)



(obs)


- (teorema 4)
(demostración)
(obs)

- (teorema 5, demostración)


(obs: aplicación)

- (probs)
(funciones trigonométricas inversas)

- (función arcsen)

- (función arccos)

- (función arctan)

- (funciones arccot, arcsec, arccsc)

(derivación de funciones trigonométricas inversas)- (derivada de arccos)

- (tabla de las derivadas de funciones trigonométricas inversas)

(funciones hiperbólicas)
- (derivada de senh)

- (derivada de cosh)

- (tabla de las derivadas de funciones hiperbólicas)

(funciones hiperbólicas inversas)- (dominio, rango y gráfica de senh-1 y cosh-1)

- (senh-1)

- (cosh-1)

- (tabla resumen de las funciones hiperbólicas inversas)

- (derivada del senh-1)

- (tabla de las derivadas de las funciones hiperbólicas inversas)

- (probs)
- (profe)




- (probs con implícitas)
(polinomio de Taylor)
- (polinomio de Taylor)
(orden 2)
(ejm)
(ejm)
- ASD
- (definición: polinomio de orden n de f alrededor de Xo)
(ejm)

- (teorema: fórmula de Taylor infinitesimal)

- (¿existirá otro polinomio...?)

- (¿qué relación hay entre...?)

- (teorema: caracterización del polinomio de Taylor)
(ejm)
(ejm)
- (polinomio de Taylor de una composición)
(ejm)
- (importancia del residuo)

- (teorema: fórmula de Taylor con resto de Lagrange)
(ejm)
(ejm)
- (aplicaciones al cálculo de límites)
(ejm)
(ejm)
(ejercicios propuestos)
- (probs)
- (polinomio de aproximación)

- (cota superior)





No hay comentarios.:
Publicar un comentario