- (ácidos y bases)



- (Svante Arrhenius)

- (Bronsted-Lowry)

- (GN Lewis)

- (fuerzas relativas)


- (ácidos y bases fuertes)


- (constante de ionización de ácidos débiles)


- (ácidos y bases débiles)

- (probs).

- (autoionización del agua Kw)

(probs). 
- (relación entre Ka y Kb)


- (potencial de hidrógeno)


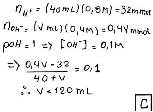
- (neutralización)

- ÁCIDOS Y BASES:
- Propiedades generales.


- Definiciones de ácidos y bases: Arrhenius, BronstedLowry, Lewis. Pares Conjugados.
- Fuerza relativa de ácidos y bases según
Bronsted-Lowry. Constante de ionización de ácidos y bases débiles (Ka, Kb). Producto iónico del agua (Kw).






- Relación entre Ka y Kb de pares conjugados.
(probs). 
/**/

- Concepto de pH y pOH. Escala de pH en soluciones diluidas.

(probs). - Neutralización.
(probs). - Titulaciones ácido fuerte/base fuerte.




(probs).
No hay comentarios.:
Publicar un comentario