- (introducción)
- (primera regla de L'Hospital: forma 0/0)
- (teorema 1: la regla de L'Hospital)
- (teorema 2)
- (ejemplos ilustrativos)(ejm 1, 2, 3, 4, 5, 6, 7)
- (segunda regla de L'Hospital: forma /)
- (teorema 3: la regla de L'Hospital)(ejm 8, 9, 10, 11, 12, 13)
- (ejercicios grupo 51)
- (formas indeterminadas adicionales)
- (caso 1)(ejm 1, 2, 3, 4, 5)
- ()
- (las formas indeterminadas 0^0, infinito a la 0, 1 a la infinito)
- (ejm 6, 7, 8)
- (ejercicios grupo 52)
- (funciones hiperbólicas)
- (def 1: función seno hiperbólico)(obs 1)
- (def 2: función coseno hiperbólico)(obs 2)
- (identidades hiperbólicas)(ejm 1, 2)
- (límites hiperbólicos)
- (teorema 4: seis límites hiperbólicos especiales)(ejm 3, 4, 5, 6, 7)
- (ejercicios grupo 53)
- (derivadas de la funciones hiperbólicas)
- (ejemplos ilustrativos)(ejm 1, 2, 3, 4, 5, 6)
- (ejercicios grupo 54)
- (funciones hiperbólicas inversas)
- (teorema 5: funciones hiperbólicas inversas)
- (derivadas de las funciones hiperbólicas inversas)
- (teorema 6: derivadas de las funciones hiperbólicas inversas)(ejm 1, 2, 3, 4, 5, 6, 7)
- (ejercicios grupo 55)
- (fórmula de Taylor y aproximaciones polinomiales)
- (teorema 7: polinomio de Taylor de grado n-ésimo)(ejm 1, 2, 3)
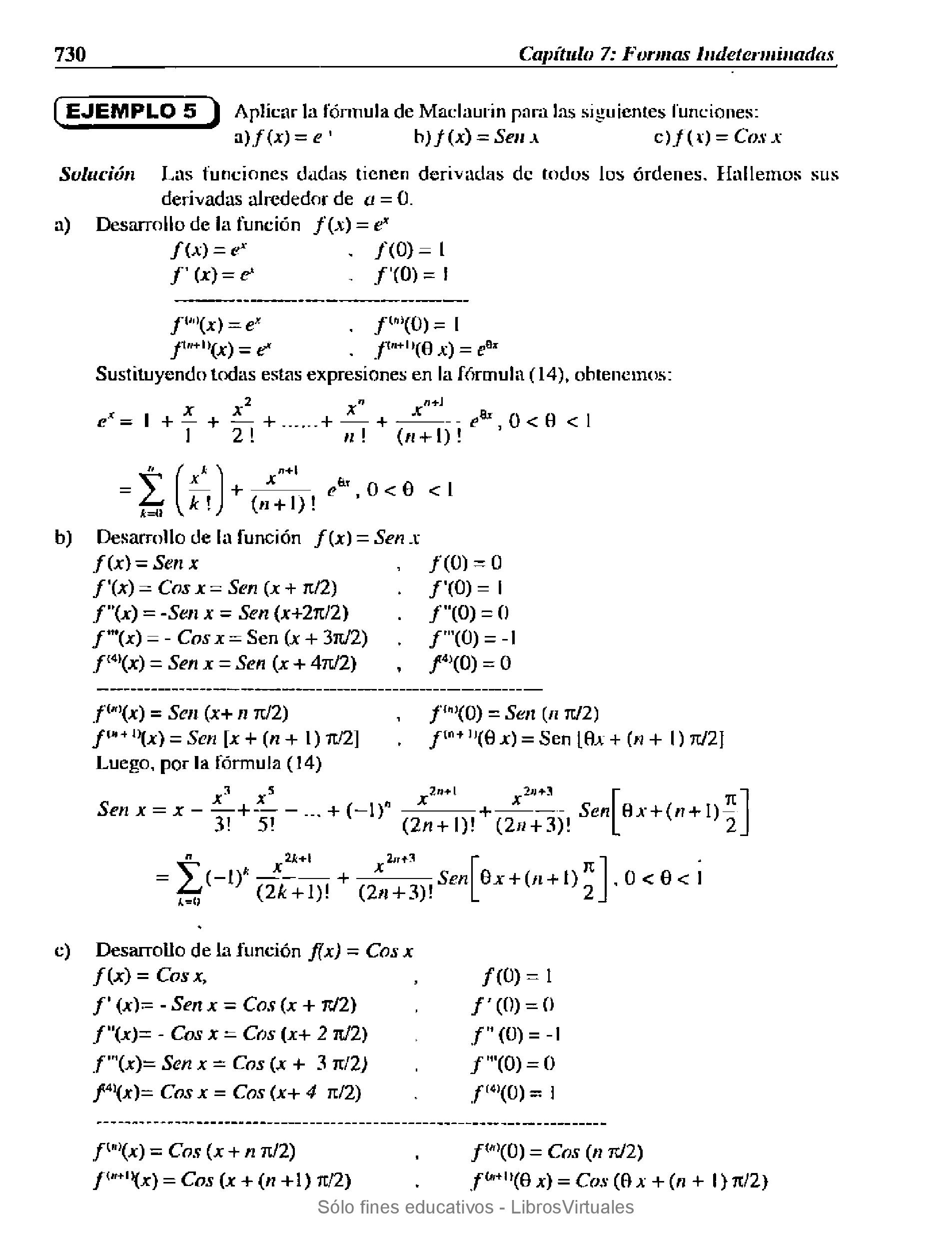
- (teorema 8: fórmula de Taylor con resto de Lagrange)(ejm 4, 5, 6, 7, 8)
- (obs 3)(ejm 9, 10, 11)
- (ejercicios grupo 56)
- ()
- Aritmética
- Álgebra
- Geometría
- Trigonometría
- Física
- Química
- Razonamiento Matemático
- Humanidades
- Lenguaje
- Literatura
- Inglés
- Historia
- Geografía
- Economía
- Filosofía
- Psicología
- Razonamiento Verbal
- Pruebas de selección
- Pruebas calificadas
- Exámenes parciales
- Exámenes de admisión
- Preguntas teóricas
- Aprendiendo a aprender
- Seminarios
- Actualidad
- FC: Ciencias de la Computación
- Mensajes guardados
- Pruebas
- CM1H2
- Estadística Inferencial
- Cálculo Diferencial
- Cálculo Integral
- Álgebra Lineal
- Álgebra Lineal I
- CC211
Buscar este blog
sábado, 17 de diciembre de 2022
FORMAS INDETERMINADAS
Suscribirse a:
Comentarios de la entrada (Atom)
No hay comentarios.:
Publicar un comentario