- TRANSFORMACIÓN DE COORDENADAS: TRASLACIÓN DE EJES.
- Introducción.
- Transformación de un sistema de coordenadas rectangulares mediante traslación de ejes.
- Demostración de fórmulas
- TRANSFORMACIÓN DE COORDENADAS: ROTACIÓN DE EJES.
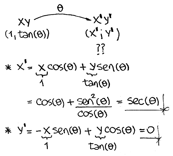
- Transformación de un sistema de coordenadas rectangulares mediante rotación de ejes.
- Transformación de un sistema de coordenadas rectangulares mediante rotación y traslación de ejes.
- Ejercicios y problemas.
- Ex. Admisión UNI - 2018 - 2: 34


- PROBS
- Aritmética
- Álgebra
- Geometría
- Trigonometría
- Física
- Química
- Razonamiento Matemático
- Humanidades
- Lenguaje
- Literatura
- Inglés
- Historia
- Geografía
- Economía
- Filosofía
- Psicología
- Razonamiento Verbal
- Pruebas de selección
- Pruebas calificadas
- Exámenes parciales
- Exámenes de admisión
- Preguntas teóricas
- Aprendiendo a aprender
- Seminarios
- Actualidad
- FC: Ciencias de la Computación
- Mensajes guardados
- Pruebas
- CM1H2
- Estadística Inferencial
- Cálculo Diferencial
- Cálculo Integral
- Álgebra Lineal
- Álgebra Lineal I
- CC211
Buscar este blog
miércoles, 11 de agosto de 2021
Transformación de coordenadas
Suscribirse a:
Comentarios de la entrada (Atom)
No hay comentarios.:
Publicar un comentario