miércoles, 28 de octubre de 2020

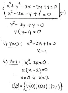
Problema 173 (2017-2)

No hay comentarios.:

Publicar un comentario