jueves, 29 de octubre de 2020

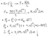
Problema 137 (2020-1)

No hay comentarios.:

Publicar un comentario