- Números Complejos. El cuerpo de los números complejos. La unidad imaginaria. Representación geométrica. Forma rectangular(o binómica)(forma parte ordenado o cartesiano). La conjugada de un número complejo. Módulo. Argumento.


- Forma polar(o trigonométrica). Forma exponencial(o de Euler).

- Operaciones con números complejos: suma, resta, multiplicación y división.


- Fórmula de D’Moivre(o cis). Aplicaciones. Raíces enésimas de un número complejo. Propiedades.

- Polinomios complejos.
- El Teorema fundamental del álgebra.
- Gráfica de regiones determinadas por números complejos.

- Números Complejos.






- El cuerpo de los números complejos.
- La unidad imaginaria.

- Representación geométrica.


- Forma rectangular.
- La conjugada de un número complejo.


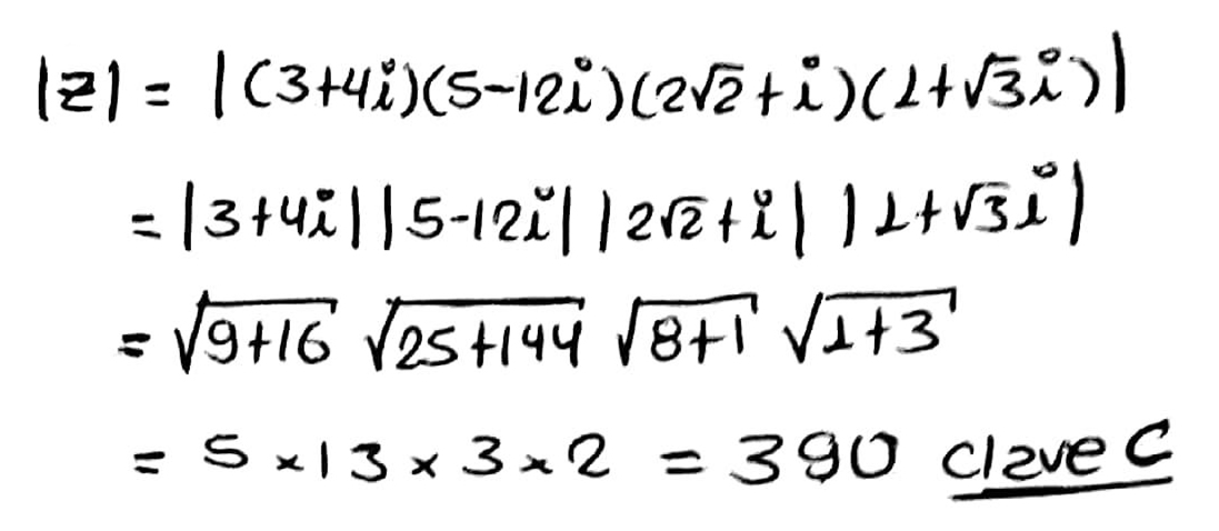
- Módulo.


// 





- Argumento.




- Forma polar.
- Forma exponencial.





- (ASD).
















- (tipos 2).




- Operaciones con números complejos: suma, resta, multiplicación y división.


- Fórmula de
D’Moivre.


- Aplicaciones.


























- Raíces enésimas de un número complejo. Propiedades.










- Polinomios
complejos.

- El Teorema fundamental del álgebra.

- Gráfica de regiones determinadas por
números complejos.




// 



No hay comentarios.:
Publicar un comentario