viernes, 11 de septiembre de 2020

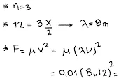
Problema 339 (2017-1)




No hay comentarios.:

Publicar un comentario