martes, 21 de julio de 2020

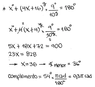
Problema 4 (2019-2)




No hay comentarios.:

Publicar un comentario