martes, 21 de julio de 2020

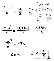
Problema 17 (2020-1)




No hay comentarios.:

Publicar un comentario