domingo, 12 de julio de 2020

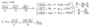
Problema 17 (2017-2)




No hay comentarios.:

Publicar un comentario