jueves, 23 de enero de 2020

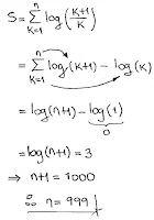
Problema 271 (2017-1)




No hay comentarios.:

Publicar un comentario