lunes, 27 de enero de 2020

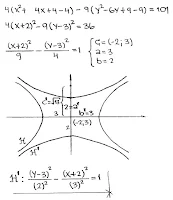
Ejemplo 20

No hay comentarios.:

Publicar un comentario