domingo, 22 de diciembre de 2019

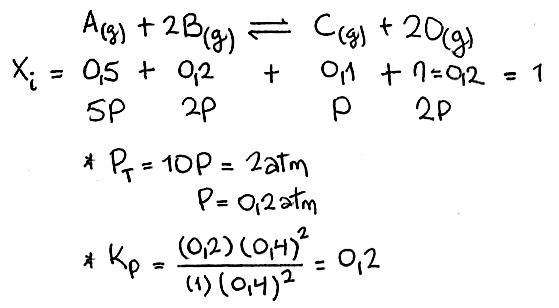
Problema 83 (2019-1)




No hay comentarios.:

Publicar un comentario