lunes, 9 de diciembre de 2019

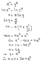
Problema 105 (2018-1)

No hay comentarios.:

Publicar un comentario