miércoles, 20 de noviembre de 2019

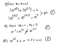
Problema 52 (2018-1)

No hay comentarios.:

Publicar un comentario