miércoles, 20 de noviembre de 2019

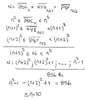
Problema 3 (2019-1)



No hay comentarios.:

Publicar un comentario