viernes, 29 de noviembre de 2019

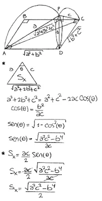
Problema 13 (2018-2)




No hay comentarios.:

Publicar un comentario