- Aritmética
 - Álgebra
 - Geometría
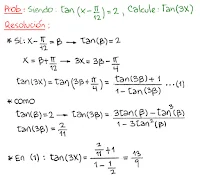
 - Trigonometría
 - Física
 - Química
 - Razonamiento Matemático
 - Humanidades
 - Lenguaje
 - Literatura
 - Inglés
 - Historia
 - Geografía
 - Economía
 - Filosofía
 - Psicología
 - Razonamiento Verbal
 - Pruebas de selección
 - Pruebas calificadas
 - Exámenes parciales
 - Exámenes de admisión
 - Preguntas teóricas
 - Aprendiendo a aprender
 - Seminarios
 - Actualidad
 - FC: Ciencias de la Computación
 - Mensajes guardados
 - Pruebas
 - CM1H2
 - Estadística Inferencial
 - Cálculo Diferencial
 - Cálculo Integral
 - Álgebra Lineal
 - Álgebra Lineal I
 - CC211
 

No hay comentarios.:
Publicar un comentario