jueves, 10 de octubre de 2019

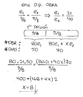
Problema 90 (2019-1)




No hay comentarios.:

Publicar un comentario