jueves, 17 de octubre de 2019

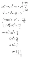
Problema 69 (2018 - 1)




No hay comentarios.:

Publicar un comentario