martes, 22 de octubre de 2019

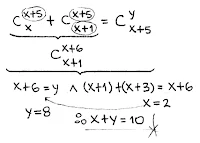
Problema 295 (2017-2)




No hay comentarios.:

Publicar un comentario