martes, 10 de septiembre de 2019

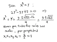
Problema 21 (PC 2 - 2019 - 1)




No hay comentarios.:

Publicar un comentario