lunes, 2 de septiembre de 2019

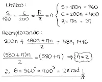
Ejemplo 9

res

No hay comentarios.:

Publicar un comentario