viernes, 16 de agosto de 2019

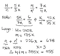
Problema 7 (2017-2)


No hay comentarios.:

Publicar un comentario