sábado, 31 de agosto de 2019

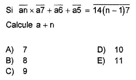
Problema 15 (PS - 2019 - 2)

res

No hay comentarios.:

Publicar un comentario