miércoles, 8 de mayo de 2019

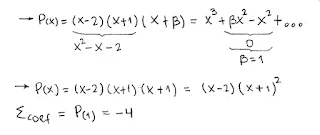
Problema 279 (2017-1)


No hay comentarios.:

Publicar un comentario