viernes, 19 de abril de 2019

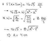
Problema 300 (2017-1)




No hay comentarios.:

Publicar un comentario