martes, 1 de enero de 2019

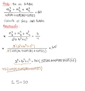
Ejemplo


No hay comentarios.:

Publicar un comentario