sábado, 3 de noviembre de 2018

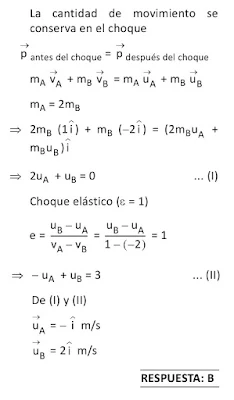
Problema 8 (Ex. Admisión UNI - 2016 - 2)



No hay comentarios.:

Publicar un comentario