- Aritmética
- Álgebra
- Geometría
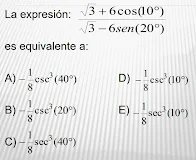
- Trigonometría
- Física
- Química
- Razonamiento Matemático
- Humanidades
- Lenguaje
- Literatura
- Inglés
- Historia
- Geografía
- Economía
- Filosofía
- Psicología
- Razonamiento Verbal
- Pruebas de selección
- Pruebas calificadas
- Exámenes parciales
- Exámenes de admisión
- Preguntas teóricas
- Aprendiendo a aprender
- Seminarios
- Actualidad
- FC: Ciencias de la Computación
- Mensajes guardados
- Pruebas
- CM1H2
- Estadística Inferencial
- Cálculo Diferencial
- Cálculo Integral
- Álgebra Lineal
- Álgebra Lineal I
- CC211



No hay comentarios.:
Publicar un comentario