martes, 18 de septiembre de 2018

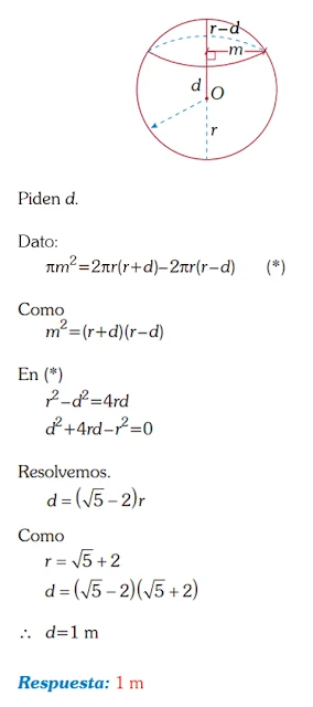
Problema 28 (Ex. Admisión UNI - 2018 - 1)


No hay comentarios.:

Publicar un comentario