martes, 18 de septiembre de 2018

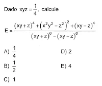
Problema 16 (Ex. Admisión UNI - 2018 - 2)


No hay comentarios.:

Publicar un comentario