lunes, 20 de agosto de 2018

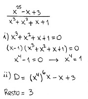
Problema 290




No hay comentarios.:

Publicar un comentario