lunes, 20 de agosto de 2018

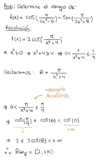
Ejemplo


No hay comentarios.:

Publicar un comentario