miércoles, 25 de abril de 2018

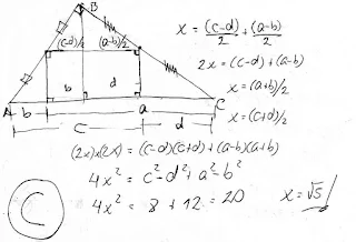
Problema 15





No hay comentarios.:

Publicar un comentario