- Definición de la recta.
- Ángulo de inclinación.
- Pendiente de una recta.
- Ecuaciones de una recta:
- Ecuación conociendo dos puntos de paso,
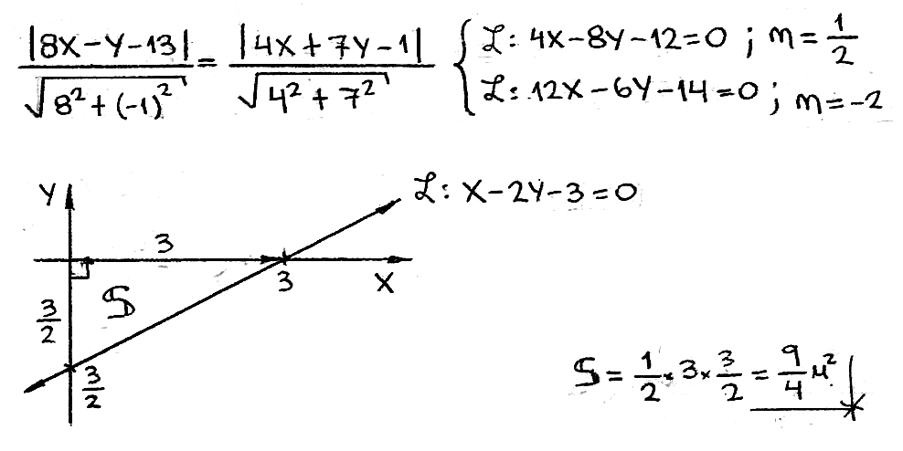
- Primer parcial - 2018 - 1: 17
Clave:B - ecuación conociendo su pendiente y su ordenada al origen,
- ecuación conociendo las intersecciones a los ejes coordenados,
- la ecuación simétrica
- y la ecuación general.
- Ejercicios y problemas.
- Propiedades de las rectas.
- Rectas paralelas a los ejes coordenados.
- Posiciones relativas entre dos rectas: Rectas paralelas, rectas perpendiculares, y rectas secantes.
- Ángulo entre dos rectas.
- PC 2 - 2019 - 2: 33

- Distancias de un punto a una recta.
- PC 2 - 2016 - 2: 35


- Selección - 2017 - 2: 37

- PC 2 - 2017 - 2: 33


- PC 2 - 2018 - 1: 34


- PC 2 - 2018 - 2: 36


- PC 2 - 2019 - 1: 33


- PC 2 - 2019 - 2: 37

- PC 2- 2020 - 1: 34

- Intersección de rectas
- Distancia entre rectas
- PC 2 - 2017 - 1: 38


- Ecuación de la recta Bisectriz.
- Ejercicios y problemas.
- Probs
- Aritmética
- Álgebra
- Geometría
- Trigonometría
- Física
- Química
- Razonamiento Matemático
- Humanidades
- Lenguaje
- Literatura
- Inglés
- Historia
- Geografía
- Economía
- Filosofía
- Psicología
- Razonamiento Verbal
- Pruebas de selección
- Pruebas calificadas
- Exámenes parciales
- Exámenes de admisión
- Preguntas teóricas
- Aprendiendo a aprender
- Seminarios
- Actualidad
- FC: Ciencias de la Computación
- Mensajes guardados
- Pruebas
- CM1H2
- Estadística Inferencial
- Cálculo Diferencial
- Cálculo Integral
- Álgebra Lineal
- Álgebra Lineal I
- CC211
Buscar este blog
domingo, 22 de abril de 2018
La recta
Suscribirse a:
Comentarios de la entrada (Atom)
No hay comentarios.:
Publicar un comentario